Измерение инфляции
Для измерения инфляции используют индексы цен.
Индексы цен
- это относительные показатели, характеризующие соотношение цен во времени. Обычно цены базисного периода принимаются равными 100, а цены отчетного периода пересчитываются по отношению к базисному.
Различают индексы оптовых цен, индексы розничных цен, индексы - дефляторы валового национального продукта, индексы экспортных и импортных цен и др.
Индексы розничных цен
определяют только на те товары и услуги, которые покупаются определенными слоями населения, чаще всего рабочими и служащими. Индексы указанного вида относятся к так называемым индексам потребительских цен. Расчет индексов розничных цен производится относительно состава рыночной корзины в базисном году (взвешивание на постоянной основе).
Индекс потребительских цен является наиболее широко распространенным показателем инфляции.
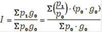
Индексы цен рассчитываются по формуле
:
Формула Ласпейреса предполагает состав потребительской корзины тем же, что и в базисном году:
Где pi - цены текущего года;0 - цены базисного года;0 - количество товара в базисном году.
Среднеарифметическая форма имеет то преимущество, что она позволяет легко производить расчет индекса. В отличие от агрегатной, в среднеарифметической форме с достаточно иметь данные о стоимости продаж в базисный период (goрo). Такие данные, как правило, доступнее [5, с.128].
Индексы цен ВНП, или дефляторы
валового национального продукта,
представляют собой группу индексов, которые характеризуют изменение рыночных цен производителей, оптовой и розничной торговли, внешнеторговые цены и пр. Расчет дефляторов ВНП производится относительно состава рыночной корзины в текущем году (состав рыночной корзины меняется год от года).
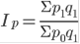
Формула Пааше предполагает состав потребительской корзины тем же, что и в данном году:
- фактическая стоимость продукции отчетного периода
- стоимость товаров реализованных в отчетном периоде по ценам базисного периода
Индексы цен являются оценочными величинами, так как не учитывают замены одних товаров другими, не принимают во внимание качественное улучшение товаров. Поэтому неудивительно, что, наряду с приведенными, в ряде случаев используются и другие формулы. Однако, за увеличение точности оценки приходится платить сложностью и трудоемкостью сбора информации.
В настоящее время в товарные наборы индексов в промежутки между их пересмотрами включаются новые товары. Параллельно исключаются устаревшие товары. Тем самым твердые товарные наборы превратились в переменные товарные наборы. Каждый товар или услуга, включенные в индексный набор, описывается подробной спецификацией, в которой указывается его особенности (размер, материал изготовления, емкость, мощность), место производства и сбыта, условия продаж (какими партиями он продается, категория покупателей, условия доставки и платежа), характеристика цены (прейскурантные цены, цены с различными скидками, накидками).
Еще статьи по экономике
Модель экономической динамики капиталистического хозяйства (по Кондратьеву Н.Д.)
Николай Дмитриевич Кондратьев - один из
выдающихся представителей российской школы экономической мысли конца XIX и
начала XX вв. С его именем связаны капитальные исследования в ...
Статистический анализ уровня и динамики цен на непродовольственные товары Оренбургской области
Переход к рыночной экономике наполняет новым содержанием работу коммерсантов, менеджеров, экономистов. Это предъявляет повышенные требования к уровню их статистической подготовки. Овладение ...
Управление оборотными активами предприятия (на примере ЗАО Красноярский ДОК)
На современном этапе развития экономики, совершенствование механизма
управления оборотными средствами предприятия является одним из главных факторов
повышения экономической эфф ...
