Методики оценки конкурентоспособности регионов России
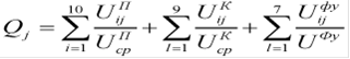
Для расчета интегрального показателя конкурентоспособности региона В.В. Печаткин и В.А. Перфилов предлагают использовать такую формулу:
где Qj - интегральный показатель конкурентоспособности j-го региона;П - значение i-го показателя j-го региона, характеризующего способность региона производить товары и услуги в условиях конкуренции;срП - среднероссийское значение показателей способности регионов производить товары и услуги;- значение i-го показателя j-го региона, характеризующего качество жизни населения;Фу - значение i-показателя j-го региона, характеризующего финансовую устойчивость региона;срK - среднероссийское значение показателей качества жизни населения;срФу - среднероссийское значение показателей финансовой устойчивости регионов.
j - номер региона.
Использование данной формализованной записи интегрального показателя оценки уровня конкурентоспособности региона является методически правомерной, поскольку позволяет получить достоверные сведения о вариации показателей. Осуществление оценки конкурентоспособности по данной методике видится перспективной и по причине относительной простоты математических вычислений. Далее на основе полученного интегрального показателя конкурентоспособности субъекту Российской Федерации присваивается ранг.
Схема оценки уровня конкурентоспособности региона представлена на рис. 7 (приложение 4).
В настоящей работе при оценке конкурентоспособности Волгоградской области мы воспользуемся комплексным показателем конкурентоспособности региона (предложен профессором Ярославского государственного университета В.Е. Андреевым ), который складывается из двух групп:
|
RC = |
{ |
Y-показатель уровня жизни |
|
I-инвестиционная привлекательность региона |
Соответственно каждый из них включает в себя:= PC + G + L , где PC - покупательная способность населения; G - коэффициент концентрации доходов (коэффициент Джини); L - уровень безработицы.= Ip + Ir + Iq + Q , где Ip - инвестиционный потенциал региона; Ir - инвестиционный риск; Iq - реальные объемы инвестиций; Q - число убыточных предприятий в регионе.
Итак, критериями оценки конкурентоспособности региона могут быть положение на рынке, темпы развития, возможность расплачиваться за полученные заемные средства, потребительские свойства по отношению к цене товара и др. Возможны также различные методы оценки конкурентоспособности, построенные на основе статистических показателей, экспертных оценок, рангов. Самыми разработанными к настоящему времени являются методы оценки конкурентоспособности, применяемые на макроуровне, т.е. при межрегиональных сопоставлениях.
Повышение конкурентоспособности регионов
Еще статьи по экономике
Исследование эффективности государственной инспекции безопасности дорожного движения с использованием системы сбалансированных показателей
Формирование правового государства, укрепление законности и правопорядка
требует повышения эффективности работы всех правовых органов, в том числе и
органов внутренних дел.
...
Инфляция в России причины, последствия и перспективы снижения
Инфляция
является одной из серьезных проблем экономики различных стран, в том числе и
России. Проблема инфляции проявляется в повышении общего уровня цен на товары и
услуги.
...
Использование механизма государственно-частного партнерства
В настоящее время в рамках неустойчивой экономической ситуации в России и
мире усиливается тенденция к активизации отношений государства и частного
бизнеса в направлении решени ...
