Корреляционный анализ
корреляционный статистический доход
Таблица 1
|
денежные доходы |
потребительские расходы | |
|
Белгородская область |
6715,3 |
4678,7 |
|
Брянская область |
6093,5 |
4464,1 |
|
Владимирская область |
4867,9 |
3386,2 |
|
Воронежская область |
6944 |
4913,2 |
|
Ивановская область |
4727,6 |
3592 |
|
Калужская область |
7525,1 |
5900,4 |
|
Костромская область |
5269,9 |
3925 |
|
Курская область |
6826,6 |
4992,4 |
|
Липецкая область |
8955,3 |
5385,3 |
|
Московская область |
11060,5 |
9030,4 |
|
Орловская область |
5941,3 |
4338 |
|
Рязанская область |
5977,7 |
4406,1 |
|
Смоленская область |
6661 |
5128,7 |
|
Тамбовская область |
7109,3 |
5196 |
|
Тверская область |
7263,5 |
5875,9 |
|
Тульская область |
6477,9 |
4464,8 |
|
Ярославская область |
8213,8 |
5265,1 |
|
г.Москва |
34576,9 |
22024,2 |
Решение
1. Построение корреляционного поля и предложение гипотезы о связи исследуемых факторов, выдвижение предположения о наличии выбросов
Изображая исходные данные в виде точек в декартовой системе координат, получим корреляционное поле. Корреляционное поле, построенное по данным таблицы 1, приведено на рисунке 1.
Рисунок 1. Корреляционное поле
Выявление аномальных значений признака наиболее удобно производить графическим методом. По расположению точек на точечном графике легко выявить значения признака, которые резко выделяются из общей, однородной массы значений признаков единиц совокупности.
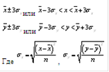
Необходимыми предпосылками корректного использования статистических методов анализа является однородность совокупности. Неоднородность совокупности возникает вследствие значительной вариации значений признака или попадания в совокупность резко выделяющихся, так называемых “аномальных” наблюдений. Для выявления “аномальных” наблюдений используют правило трех сигм, которое состоит в том, что “аномальными” будут те единицы, которых значения анализируемого признака будут выходить за рамки интервала:
Еще статьи по экономике
Формы реальных инвестиций и процесс управления ими
Реальное инвестирование для большинства предприятий в современных условиях составляет основу инвестиционной деятельности. Осуществление реальных инвестиций характеризуется рядом особенностей ...
Инфляция в России причины, последствия и перспективы снижения
Инфляция
является одной из серьезных проблем экономики различных стран, в том числе и
России. Проблема инфляции проявляется в повышении общего уровня цен на товары и
услуги.
...
Коммерческая деятельность совместных предприятий
Актуальность темы исследования. В современном мире экономика любого
государства не может успешно и динамично развиваться без интеграции в мировое
хозяйство, без участия в проц ...
