Регрессионный анализ
Расчет с помощью функции ЛИНЕЙН с расшифровкой полученных результатов.
ЛИНЕЙН (известные значения_y; известные_значения_x;конст;статистика)
Известные_значения_y - множество значений y, которые уже известны для соотношения y = mx + b. В нашем случае B23:B38
Известные_значения_x - необязательное множество значений x, которые уже известны для соотношения y = mx + b. В нашем случае C23:C38
Конст - логическое значение, которое указывает, требуется ли, чтобы константа b была равна 0. В нашем случае: b вычисляется обычным образом, т.е. конст опущено.
Статистика - логическое значение, которое указывает, требуется ли вернуть дополнительную статистику по регрессии. В нашем случае аргумент статистика имеет значение ЛОЖЬ, то функция ЛИНЕЙН возвращает только коэффициенты m и постоянную b.
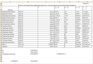
Рисунок 6. Аргументы функции ЛИНЕЙН и формулы расчета параметров уравнения с использованием функции ЛИНЕЙН
В результате применения функции ЛИНЕЙН получены два значения 0,5599 и 1050,2090, которые соответственно представляют собой значения b и а.
Рисунок 7. Результаты расчета параметров уравнения с использованием функции ЛИНЕЙН
1.3. Расчет с помощью графического построения линии тренда
Построение графиков осуществляется с помощью «Мастера диаграмм».
) активизируем «Мастер диаграмм» любым из следующих способов:
а) в главном меню выбираем Вставка/Диаграмма;
б) на панели инструментов Стандартная щелкнем по кнопке Мастер диаграмм;
) в окне «Тип» выбираем График (рис. 8); вид графика выбираем в поле рядом со списком типов. Щелкните по кнопке Далее;
Рисунок 8. Диалоговое окно «Мастера диаграмм» тип диаграммы
3) заполняем значения х и у, как показано на рис. 9 . Щелкнем по кнопке Далее;
Рисунок 9. Диалоговое окно «Мастера диаграмм» ряд
4) Заполним параметры диаграммы на разных закладках (рис.10): названия диаграммы и осей, значения осей, линии сетки, параметры легенды, таблица и подписи данных. Щелкнем по кнопке Далее;
) Укажем место размещения диаграммы на отдельном или на имеющемся листе (рис. 11). Щелкнем по кнопке Далее. Готовая диаграмма, отражающая динамику уровней изучаемого ряда, представлена на рис. 12.
Рисунок 10. Диалоговое окно «Мастера Диаграмм» параметры диаграммы
Рисунок 11. Диалоговое окно «Мастера диаграмм» размещение диаграммы
Рисунок 12. Взаимосвязь между денежными доходами и потребительскими расходами
В MS Ехсеl линия тренда может быть добавлена в диаграмму с областями гистограммы или в график. Для этого: 1) выделим область построения диаграммы; в главном меню выберем Диаграмма/Добавить линию тренда; 2) в появившемся диалоговом окне (рис. 13) выбираем вид линии тренда и задаем соответствующие параметры.
Рисунок 13. Диалоговое окно типов линий тренда
В качестве дополнительной информации на диаграмме можно отобразить уравнение регрессии и коэффициент детерминации, установив соответствующие флажки на закладке Параметры (рис. 14). Щелкнем по кнопке ОК. Появится выбранный нами тренд описывающий исходные данные задачи рис.15.
Рисунок 14. Диалоговое окно параметров линии тренда
Рисунок 15. Линейный тренд
.4. Расчет с помощью инструмента «Регрессия»
Коэффициент корреляции может быть найден с использованием анализа данных: Анализ данных ®Регрессия
Рисунок 16. Диалоговое окно «Регрессия»
Рисунок 17. Результаты регрессионного анализа
Коэффициенты регрессии находятся в столбце коэффициенты дисперсионного анализа
Оценка статистической надежности результатов регрессионного моделирования с помощью доверительных интервалов коэффициентов регрессии по t-критерию Стьюдента
Еще статьи по экономике
Комплексный экономический анализ производственно-хозяйственной деятельности медицинской организации
Анализ
финансово-хозяйственной деятельности предприятий как наука представляет собой
систему специальных знаний, связанных с исследованием тенденций хозяйственного
развития, н ...
Инвестиции в недвижимость
Становление и развитие рыночных отношений в экономике России связано в значительной мере с объектами недвижимости, которые выступают в качестве средств производства (земля, производствен ...
Международный гостиничный бизнес на современном этапе
Одной
из современных тенденций развития мирового хозяйства является формирование
новых отраслевых комплексов. Мировая экономика постепенно превращается в
невидимую, неосязаему ...
