Экономический анализ и оценка динамики товарооборота торговых предприятий
Для эффективного управления торговыми предприятиями важное значение имеет анализ объема, динамики, скорости и структуры их товарооборота на потребительском рынке. Изучение существующих тенденций и возможностей торговых предприятий, касающихся реализации товаров, определение факторов, которые позитивно и негативно влияют на объем продаж товаров торговым предприятием, определяются в процессе анализа объема и структуры их товарооборота. В этом случае проведение экономического анализа позволяет:
· изучить процесс выполнения плана товарооборота, ритмичность и сезонность реализации товаров в ретроспективном периоде;
· изучить состав товарооборота по формам, видам, методам продажи, ассортиментной структуре;
· выявить основные тенденции и закономерности в реализации товаров;
· проанализировать и количественно оценить влияние отдельных факторов на объем, состав и структуру товарооборота.
В общем случае анализ товарооборота торгового предприятия может проводиться по следующей схеме:
«Определение общего объема товарооборота и оценка степени выполнения плана» _ «Оценка и анализ динамики общего объема товарооборота» _ «Анализ товарно-групповой структуры товарооборота» _ «Анализ состава товарооборота по его определенным видам» ⇒ «Оценка и анализ ритмичности и сезонности реализации товаров» _ «Количественная оценка факторов, которые обуславливают изменение товарооборота» _ «Анализ запаса финансовой прочности торгового предприятия».
Первый этап проведения анализа заключается в определении общего объема товарооборота торгового предприятия за отчетный период и оценка степени выполнения плана товарооборота.
На этом этапе анализа определяют общий объем реализации товара и платных услуг в стоимостном выражении, а по некоторым товарным группам и видам товаров, кроме того - в натуральном размере.
Оценка степени выполнения плана товарооборота осуществляется путем расчета относительного и абсолютного размеров отклонений фактического объема товарооборота от заданного, которые могут быть вызваны негативным влиянием неучтенных в процессе планирования факторов. Изучение степени выполнения плана проводится не только для оценки качества планирования и степени профессионализма работников планово-экономической службы торгового предприятия, а, прежде всего, с целью оценки динамики его внешней среды и чувствительности к изменению объемов реализации товаров на данном торговом предприятии.
Второй этап сводится к анализу динамики общего товарооборота на протяжении отчетного периода (поквартально, на протяжении года или за 2-5 лет).
Для исследования динамических изменений в объеме товарооборота предприятия строится сопоставимый динамический временной ряд изменения товарооборота. Приведение фактического товарооборота в сопоставимый вид осуществляют по площади торговой сети предприятия, длительности его работы, а так же по ценам реализации товаров.
Корректировка фактического товарооборота в связи с вводом (выбытием) и изменениями в графике реализации товаров осуществляется методом прямого расчета.
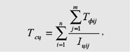
Учитывая достаточно высокую динамику изменения цен на Российском рынке, определение объема товарооборота, сопоставленного с ценами реализации Тсц., может проводиться последующей формуле:
где n- число интервалов времени за отчетный период, на которых цена на различные виды товаров оставалась стабильной;количество наименований товаров различного видафij - фактический товарооборот за i-й интервал времени отчетного периода по товару j-го наименования;цij -индекс прироста цены реализации товара j-го наименования на i-м интервале отчетного периода по сравнению с предыдущим периодом i -1, который рассматривается как базовый.
Средний индекс изменения цен рассчитывается непосредственно предприятием с учетом структуры товарооборота и информации об изменении цен реализации на определенные товары на различных интервалах отчетного периода. Использование для корректировки индекса инфляции за соответствующий период обычно является некорректным в связи с отличиями в структуре товарооборота торговых предприятий.
На базе построенного динамического ряда сопоставимого товарооборота вычисляются абсолютные изменения в объеме реализации товаров, а так же темпы роста и прироста что касается предыдущего и базового периода.
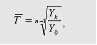
Важное значение для планирования и управления торговым предприятием имеет так же определение средних темпов изменения объема товарооборота (среднеквартальных или среднегодовых) по формуле среднегеометрической:
где Т - среднегеометрический темп роста;k - конечный показатель динамического ряда;0 - начальный показатель динамического ряда- количество показателей в динамическом ряду.
Еще статьи по экономике
Использование механизма государственно-частного партнерства
В настоящее время в рамках неустойчивой экономической ситуации в России и
мире усиливается тенденция к активизации отношений государства и частного
бизнеса в направлении решени ...
Использование основных фондов на ОАО Гурьевский пищекомбинат
Формирование инновационной экономики на современном этапе развития
становится необходимым условием для перехода к прогрессивным структурно-технологическим
и организационным фор ...
Мероприятия по совершенствованию управления товарооборотом торгового предприятия
В
современных условиях, в процессе возрастания конкурентной борьбы между
предприятиями, все более актуализуется проблема управления товарооборотом
торгового предприятия, и ее ...
