Курсовая стоимость акции
Акция -
это ценная бумага, которая
удостоверяет право на участие в собственном капитале ее эмитента. Акции принадлежат к классу паевых ценных бумаг и не имеют установленных сроков обращения, которое необходимо учитывать во время исчисления их теоретической стоимости. Номинал акции может быть разным, но в большинстве случаев эмитенты отдают предпочтение выпуску акций небольшого номинала, который разрешает расширить рынок и повысить их ликвидность. Как правило, номинал акции не отображает ее реальной стоимости, а потому для анализа доходности акций используют курсовую, т.е. текущую рыночную цену [4].
Курсовая цена акций зависит от разнообразных факторов: величины и динамики дивидендов, общей конъюнктуры рынка, рыночной нормы прибыли. На курс акций могут существенно повлиять управленческие решения относительно реструктуризации компании-эмитента. Так, например, решение о слиянии компаний большей частью повышают курсовую цену их акций.
Хотя внутреннюю стоимость акций можно определить разными способами, но все они базируются на общем принципе, который заключается в сопоставлении сгенерированных данной ценной бумагой доходов с рыночной нормой прибыли. Показателем доходности может служить или уровень дивидендов, или величина чистой прибыли в расчете на одну акцию. Второй показатель используют тогда, когда дивиденды по какой-то причине не выплачиваются, а полученная прибыль полностью реинвестируется, например, в процессе становления, расширение или реорганизации акционерного предприятия. В последнее время инвесторы предоставляют преимущество такому показателю, как чистый денежный поток в расчете на одну акцию, считая его объективным.
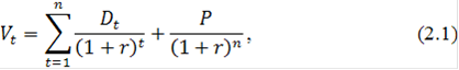
Текущая внутренняя стоимость ![]()
акции в общем виде в рамках фундаментального анализа может быть рассчитана по формуле:
где ![]()
- дивиденд на акцию в момент времени ![]()
;
![]()
- цена продажи акции;
![]()
- норма доходности;
![]()
- горизонт прогнозирования,
т.е. дисконтированием денежного потока, генерируемого анализируемой ценной бумагой.
Как видно из формулы (2.1), оценка теоретической стоимости акции зависит от трех параметров: ожидаемые денежные поступления, которые состоят из ожидаемых дивидендов ![]()
и предполагаемой цены продажи ![]()
, горизонта прогнозирования ![]()
и норма доходности ![]()
. Последний параметр оценивается достаточно просто, и для его оценки существуют множество подходов. Второй параметр непосредственно зависит от предполагаемого срока инвестирования. Первый вероятно наиболее существенен, поскольку он непосредственно связан с активом и от точности его определения зачастую зависит эффективность инвестиций на рынке акций.
Еще статьи по экономике
Уровень безработицы в Республике Беларусь
Проблема безработицы является ключевым вопросом в
рыночной экономике, и, не решив его, невозможно наладить эффективную
деятельность экономики. Особенно остро проблема безработи ...
Использование основных фондов на ОАО Гурьевский пищекомбинат
Формирование инновационной экономики на современном этапе развития
становится необходимым условием для перехода к прогрессивным структурно-технологическим
и организационным фор ...
Товарооборачиваемость анализ и пути ускорения с целью увеличения прибыли и рентабельности Гродненского облпотребсоюза
Изучение товарных запасов и товарооборачиваемости относится к числу
важных задач экономики торговли. Значение статистического учета и анализа
товарных запасов определяется их р ...
