Методы выделения тренда и трендовые модели
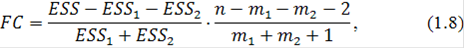
) находится величина ![]()
- сумма квадратов остатков общей модели регрессии. Также находятся ![]()
и ![]()
- суммы квадратов остатков частных моделей соответственно;
) проверяется гипотеза ![]()
временной ряд не содержит стабильную тенденцию при альтернативной гипотезе ![]()
временной ряд содержит стабильную тенденцию.
Используется F-статистика
с распределением Фишера и степенями свободы ![]()
где ![]()
и ![]()
- число параметров уравнений не считая свободный член.
Если ![]()
то временной ряд не содержит стабильной тенденции и необходимо построение кусочно-непрерывной модели. При выполнении обратного условия: ![]()
- временной ряд может быть описан с помощью общего уравнения.
Довольно часто возникает потребность в корректировке или сглаживании исследуемого ряда значений. Сглаживание временного ряда выполняется с помощью специальных функций, описывающих закономерности во времени исследуемых экономических явлений. Целью сглаживания является устранение случайных всплесков, т.е. построение плавных временных зависимостей для выявления тренда. В теории обработки временных рядов существует множество способов их сглаживания [9]: фильтрация с использованием преобразования Фурье, кусочная аппроксимация многочленами, экспоненциальное и медианное сглаживание, метод скользящего окна и др. Выбор той или иной функции в качестве тренда является наиболее важным этапом анализа, т.к. ошибки приводят к погрешностям в прогнозе. Основным инструментом, позволяющим отдать предпочтение той или иной модели, являются приросты уровней (значений) ряда и их производные. Прирост определяется как
![]()
.
Темп роста:
темп прироста:
В рамках анализа тренда среднего выделяют следующие основные способы аппроксимации временных рядов и соответствующие основные виды трендов среднего [10]: полиномиальный тренд:
![]()
,
где ![]()
- параметры модели, ![]()
![]()
- независимая переменная.
![]()
характеризует уровень ряда в момент времени ![]()
![]()
- скорость роста, ![]()
- ускорение роста, ![]()
- изменение ускорения.
Еще статьи по экономике
Увеличение существующей мощности предприятия ЗАО Волжский дизель имени Маминых
проект предприятие товар рынок сбыт
Настоящий
бизнес-план посвящен обоснованию эффективности инвестиционного проекта,
направленного на увеличение существующей мощности предприят ...
Технико-экономическое обоснование и создание электроэрозионного участка по обработке металлических деталей
Одним
из основных и важнейших условий технического прогресса любой из отраслей
техники и промышленности является наряду с применением новых идей и новых
материалов также и при ...
Использование основных фондов на ОАО Гурьевский пищекомбинат
Формирование инновационной экономики на современном этапе развития
становится необходимым условием для перехода к прогрессивным структурно-технологическим
и организационным фор ...
