Статистика основных производственных фондов
Основные производственные фонды (ОПФ)-производственные активы, созданные в процессе производства, которые длительное время неоднократно или постоянно в неизменной натурально-вещественной форме используются для производства товаров, оказания рыночных и нерыночных услуг, постепенно утрачивая свою стоимость.
Основные формулы
По вариантам стоимости рассчитываются балансы основных фондов, на основании которых определяется стоимость фондов на определённую дату:
где Фк.г. и Фн.г. - полная стоимость фондов на начало и конец года соответственно;
Фпост. и Фвыб. - полная стоимость поступивших и выбывших фондов соответственно.
где Бк.г., Бн.г., Б пост. и Б выб. - балансовая стоимость на конец и начало года балансовая стоимость поступивших и выбывших фондов соответственно; КР -капитальный ремонт; А - амортизация.
Показатели состояния основных фондов:
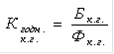
1. Коэффициент годности на определённую дату:
. Коэффициент износа на определенную дату:
(1.4)
где Кгодн. и Кизноса - коэффициенты годности и износа на конец года соответственно.
Показатели движения основных фондов:
где Кобн. и Квыб. - коэффициенты обновления и выбытия соответственно
Показатели эффективности использования основных фондов:
1. Фондоотдача:
где V - фондоотдача;
Q - объём продукции;
- средняя полной стоимости.
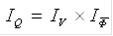
где IQ, IV и I
- индексы объёма продукции, фондоотдачи и полной стоимости соответственно,
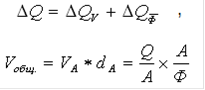
где ΔQ - показатель, характеризующий изменение объёма продукции;
Q1 и Q0 - объёмы продукции за отчётный и базовый периоды соответственно.
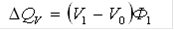
А) влияние изменения фондоотдачи на объём продукции:
где ΔQv - показатель, характеризующий изменение объёма продукции;
V1 и V0 - фондоотдача в отчётный и базовый периоды;
Ф1 - полная стоимость в отчётный период.
Б) прирост продукции
где Ф0 - полная стоимость в базовый период.
В)
где Vобщ. - фондоотдача; VA - фондоотдача активных фондов; dA - доля активных фондов в общей стоимости, А - стоимость активной части фондов.
ΔQ может быть разложен на 3 фактора:
а) влияние фондоотдачи активных фондов:
б) влияние структуры основных фондов:
в) влияние изменения общей стоимости основных фондов
Еще статьи по экономике
Комплексный экономический анализ производственно-хозяйственной деятельности медицинской организации
Анализ
финансово-хозяйственной деятельности предприятий как наука представляет собой
систему специальных знаний, связанных с исследованием тенденций хозяйственного
развития, н ...
Технико-экономическое обоснование и создание электроэрозионного участка по обработке металлических деталей
Одним
из основных и важнейших условий технического прогресса любой из отраслей
техники и промышленности является наряду с применением новых идей и новых
материалов также и при ...
Международный гостиничный бизнес на современном этапе
Одной
из современных тенденций развития мирового хозяйства является формирование
новых отраслевых комплексов. Мировая экономика постепенно превращается в
невидимую, неосязаему ...
