Корреляционно-регрессионный анализ связи между урожайностью зерна и себестоимостью 1 центнера зерна
Корреляционно-регрессионный анализ взаимосвязи урожайности зерновых культур и их себестоимости в изучаемой совокупности предприятий Калачинского района в 2010 году.
Вообще говоря, фактическая урожайность зерновых культур влияет на их себестоимость. Причем с увеличением урожайности зерновых культур их себестоимость должна снижаться.
Проверим, каким образом эта взаимосвязь проявляется в изучаемой совокупности предприятий Калачинского и Исилькульского районов в 2010 году. Рассчитаем необходимые величины для вычисления показателей взаимосвязи в таблице 8.
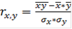
Рассчитаем парный коэффициент корреляции по формуле
![]()
.
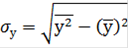
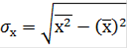
Для этого необходимо вначале рассчитать ![]()
и ![]()
по следующим формулам:
![]()
; σх = ![]()
= 1,85;
![]()
; σу=![]()
=89,3.
rx,y=![]()
=-0,03
Таблица 8
Расчет величин для определения коэффициента корреляции, параметров уравнения линейной связи и теоретического коэффициента детерминации
Согласно значению коэффициента корреляции взаимосвязь между урожайностью зерна и себестоимостью зерна в изучаемой совокупности предприятий в 2010 году не проявляется, т.к. (![]()
, и дальнейшее исследование не имеет смысла. Но в учебных целях, формально, мы проведем это исследование, понимая, что практического применения все эти выкладки не имеют и все расчеты не значимы. Соответственно сила влияния урожайности зерновых на их себестоимость слабая, а направление связи обратное (т.к. ![]()
, т.е. при увеличении урожайности зерновых, себестоимость должна сокращаться. Расчеты подтвердили выдвинутую ранее гипотезу. Построим линейную регрессионную модель влияния урожайности зерна на его себестоимость в изучаемой совокупности предприятий Калачинского и Исилькульского районов в 2010 году.
![]()
,
где параметры k и b найдем методом наименьших квадратов, т.е. как решение следующих систем уравнения:
Подставим в данную систему имеющиеся у нас данные:
Решим систему методом Крамера:
![]()
; ![]()
; ![]()
;
![]()
.
Выполнив расчеты, мы получили модель:
Рассчитаем коэффициент эластичности по следующей формуле:
![]()
;
Согласно построенной модели при увлечении урожайности зерна на 1% себестоимость зерна сократиться на 0,04%.
Рассчитаем теоретический коэффициент детерминации. Для этого воспользуемся следующей формулой:
![]()
;
Изменение себестоимости зерна на 0,1% обусловлено изменением урожайностью зерна в изучаемой совокупности предприятий в 2010 году.
Следовательно, согласно построенной модели урожайность зерна не является значимым фактором себестоимости зерна, остальные факторы в совокупности определяют 99,9% вариации себестоимости зерна.
Еще статьи по экономике
Исследование в экономике теории магистралей
В
экономической теории на первоначальном этапе ее развития редко использовались
математические формулировки. Тем не менее, многие классические доктрины
экономики в словесной, ...
Кооперативные уставы, их виды и содержание
Кооператив
- это самодеятельная организация работников - собственников, организующих его
деятельность в целях получения прибыли или реализации в своих интересах
различного род ...
Исследование и оценка уровня деловой активности предприятия ООО Амурметалл-Литье на основании его финансовой отчетности
В
современных условиях экономического обособления и самостоятельности
хозяйствующего субъекта успех или неуспех организации во многом зависит от
стратегии её развития. Выбор х ...
