Статистика оборотных фондов
Оборотные фонды-предметы труда, которые, участвуя в создании потребительной стоимости, полностью потребляются в пределах каждого производственного цикла и целиком переносят на создаваемый продукт свою стоимость.
Оборотные средства - денежные средства, авансируемые в оборотные фонды и фонды обращения, находящиеся в постоянном кругообороте и обеспечивающие непрерывность процесса производства и обращения.
.1 Основные формулы
Показатели, характеризующие использование оборотных средств:
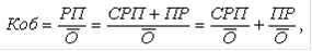
.Коэффициент оборачиваемости:
где ПР - прибыль от реализации продукции
СРП - себестоимость реализованной продукции
РП - стоимость реализованной продукции в оптовых ценах
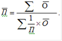
О - средний остаток оборотных средств за период:
, (2.2)
где Он, Ок- средние остатки оборотных средств на начало и конец исследуемого периода соответственно;
, (2.3)
где О1, О2,…, Оn- данные на начало каждого месяца исследуемого периода.
.Коэффициент закрепления:
3.Продолжительность одного оборота:
где Д - продолжительность календарного периода (30 дней-месяц, 90 дней-квартал,180 дней-полугодие, 360 дней-год).
.Высвобождение (вовлечение) средств вследствие ускорения (уменьшения) оборотов:
где П1,П0 - продолжительность одного оборота в отчетном и базисном периодах соответственно,
РП1- стоимость реализованной продукции в отчетном периоде,
- средний остаток оборотных средств в отчетном периоде.
2.2 Решение типовых задач
Задача №1
Имеются следующие данные о предприятии:
Себестоимость реализованной товарной продукции в ценах производителя (тыс. грн.) за:
апрель -1810,
май - 1820,
июнь - 1840.
Остаток оборотных средств (тыс. грн.):
на 1.04 - 136,
1.05 - 130,8,
.06 - 131,1,
1.07 - 121.
Определить показатели оборачиваемости оборотных средств за каждый месяц и в целом за квартал и сумму средств высвободившихся из оборота, вследствие ускорения их оборачиваемости в июне по сравнению с маем.
Решение:
Апрель:
Коэффициент оборачиваемости оборотных средств:
,
где РП - стоимость реализованной продукции.
- средний остаток оборотных средств:
,
где Он и Ок-остаток соответственно на начало и на конец периода.
133,4 (тыс. грн.)
13,57 (обор.).
Продолжительность одного оборота:
Еще статьи по экономике
Статистико-экономический анализ производства зерновых и зернобобовых культур на примере ЗАО Тихий Дон и других предприятий Хохольского, Аннинского, Воробьевского и Павловского районов Воронежской обла
На современном этапе главными задачами аграрной политики являются создание конкурентного агропромышленного производства и обеспечение его роста на основе интенсификации, что должно способств ...
Конкуренция и партнерство как основные виды экономического взаимодействия
социальное
взаимодействие конкуренция партнерство
Конкуренция
и партнерство признаются основными видами экономического взаимодействия, вместе
с тем имеется дефицит теоретически ...
Финансовый анализ деятельности предприятия на примере ОАО ГОЗСА
рыночная экономика
В
условиях современной конкурентной рыночной среды и финансовой неопределенности
в долгосрочном периоде из-за рисков возникновения кризисных явлений, финансов ...
