Анализ динамики и структуры, факторный анализ товарооборота торгового предприятия ЗАО «Тандер»
Из данных Таблицы 2 видно, что за анализируемый период объем товарооборота торгового предприятия ЗАО «Тандер» увеличился на 175735493 тыс. руб., или на 267,5%. Наблюдается четкая тенденция ежегодного увеличения объема товарооборота. Так, в отчетном году по сравнению с прошлым годом объем товарооборота увеличился на 42,2%.
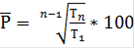
Среднегодовой темп изменения объема товарооборота рассчитывается по средней геометрической:
где
- среднегодовой темп изменения объема товарооборота, %;
Тn - объем товарооборота отчетного года, тыс. руб.;
Т1 - объем товарооборота в первом году ряда динамики, тыс. руб.;
n - количество лет в ряду динамики.
В анализируемом предприятии среднегодовой темп роста объема товарооборота составил 38,5%.
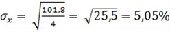
Проанализируем равномерность выполнения плана товарооборота торгового предприятия ЗАО «Тандер» за отдельные периоды времени, с помощью расчета коэффициента равномерности:
где Р - коэффициент равномерности выполнения плана товарооборота, %;
V - коэффициент вариации выполнения плана товарооборота по отдельным периодам, %.
где
- среднеквадратическое отклонение выполнения плана товарооборота по отдельным периодам, %;
- средний процент выполнения плана товарооборота.
где
- процент выполнения плана товарооборота за i-ый период.
Для расчета коэффициента равномерности выполнения плана составим разработочные таблицы.
Таблица 3 Исходные данные для расчета коэффициента равномерности выполнения плана товарооборота торгового предприятия ЗАО «Тандер» по кварталам за 2008-2009 года.
|
Годы/Кварталы |
Объем товарооборота, тыс. руб. |
( |
| ||
|
2008 год |
2009 год |
% выполнения | |||
|
I квартал |
27152994 |
37705642 |
138,9 |
7,8 |
60,8 |
|
II квартал |
30083601 |
40087806 |
133,3 |
2,2 |
4,8 |
|
III квартал |
33365800 |
43325560 |
129,9 |
-1,2 |
1,4 |
|
IV квартал |
38852854 |
48632939 |
125,2 |
-5,9 |
34,8 |
|
Год, хi |
129455249 |
169751947 |
131,1 |
- |
101,8 |
По данным Таблицы 3 рассчитаем среднеквадратическое отклонение выполнения плана товарооборота и коэффициент вариации:
Еще статьи по экономике
Коммерческая деятельность совместных предприятий
Актуальность темы исследования. В современном мире экономика любого
государства не может успешно и динамично развиваться без интеграции в мировое
хозяйство, без участия в проц ...
Ценообразование на продукты и услуги (практика ОАО РЖД)
Цена
- важнейшая экономическая категория, оказывающая значительное влияние на
решение социальных проблем населения и укрепление финансовой системы страны,
что приобрело особен ...
Характеристика машиностроения, металлообработки, приборостроения Удмуртии
Машиностроение, металлообработка и приборостроение - исторически
сложившаяся специализация промышленности Удмуртии. По настоящее время
машиностроение, металлообработка и прибор ...
