Оценка качества построенной модели
Оценка качества модели подразумевает проверку ее достоверности или адекватности. Эта проверка заключается в определении степени соответствия модели некому реальному процессу. Адекватность модели проверяется путем статистического тестирования.
Понятия достоверности и адекватности являются условными, поскольку мы не можем рассчитывать на полное соответствие модели реальному объекту, иначе это был бы сам объект, а не модель. Поэтому в процессе моделирования следует учитывать адекватность не модели вообще, а именно тех ее свойств, которые являются существенными с точки зрения проводимого исследования.
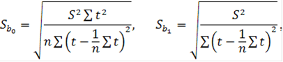
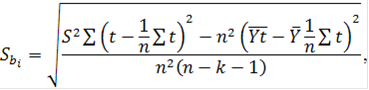
В первую очередь оценивается значимость коэффициентов построенной модели по выборочным данным, а также сама модель в целом. Для этого, в частности, используются t-критерий Стьюдента и F-критерий Фишера [5]: t-критерий Стьюдента:
Для коэффициента![]()
определяется фактическое значение t-критерия Стьюдента
причем
где
является остаточной дисперсией (стандартной ошибкой регрессии), ![]()
- в данном случае независимая объясняющая переменная (фактор времени).
Затем полученное фактическое значение сравнивается с табличным значением ![]()
при заданном уровне значимости ![]()
и при числе степеней свободы ![]()
(![]()
- длина выборки, ![]()
- порядок регрессии). Число степеней свободы показывает, сколько независимых отклонений от ![]()
возможных требуется для образования данной суммы квадратов. Если выполняется неравенство ![]()
, то гипотеза о не значимости коэффициента ![]()
отклоняется, т.е. коэффициент значим, ![]()
, где ![]()
- количество регрессоров; F-критерий Фишера:
Формула для вычисления F-распределения со степенями свободы ![]()
имеет вид:
Еще статьи по экономике
Замена оборудования как фактор повышения эффективности производства на ОАО НефАЗ
Управление организациями в условиях рыночной экономики
значительно сложнее, чем при централизованной командно-административной
системе. В условиях рынках все больше возникает н ...
Комплексный экономический анализ хозяйственной деятельности предприятия ОАО РЖД
Любое предприятие сталкивается с необходимость проведения анализа своей
финансово-хозяйственной деятельности. Результаты такого анализа позволяют
оценить текущее финансовое сос ...
Комплексный экономический анализ производственно-хозяйственной деятельности медицинской организации
Анализ
финансово-хозяйственной деятельности предприятий как наука представляет собой
систему специальных знаний, связанных с исследованием тенденций хозяйственного
развития, н ...
