Оценка качества построенной модели
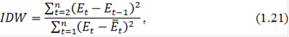
Имеет место интеграционный критерий Дарбина-Уотсона, который используется для проверки ряда на стационарность. Значение статистики критерия вычисляется по формуле:
где ![]()
- выборочное среднее остатков ![]()
модели.
Выводы о стационарности или не стационарности делаются аналогично выводам об отсутствии или наличии автокорреляции соответственно для обычного критерия Дарбина-Уотсона.
Проверкой ряда на стационарность также является тест Дики-Фуллера, для которого обычно оценивается модель авторегрессии [9] следующего вида:
![]()
.
При заданном уровне значимости ![]()
выдвигается гипотеза о значимости единичного корня ![]()
: ![]()
(временной ряд нестационарный) и альтернативная ей гипотеза ![]()
: ![]()
(временной ряд нестационарный). Для проверки гипотезы используется t-статистика Дики-Фуллера:
где ![]()
- оценка коэффициента по выборочным данным;
![]()
- стандартная ошибка коэффициента ![]()
.
Различным вариантам моделей соответствуют различные критические значения статистики ![]()
относительно ![]()
. Если ![]()
, то гипотеза ![]()
не отклоняется и ряд является нестационарным.
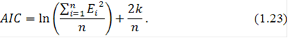
Практически всегда возникает ситуация, когда точная спецификация модели для рассматриваемого процесса или явления неизвестна, причем построено несколько моделей, оценка качества которых выявила их адекватность и хорошую аппроксимацию к фактическим данным. Выходом из положения служат критерии, позволяющие выбирать из некоторого множества моделей наилучшую. Наиболее распространенными критериями являются информационные критерии Акаики и Шварца [5].
Статистика Акаики находится по следующей формуле:
Еще статьи по экономике
Статистический анализ уровня и динамики цен на непродовольственные товары Оренбургской области
Переход к рыночной экономике наполняет новым содержанием работу коммерсантов, менеджеров, экономистов. Это предъявляет повышенные требования к уровню их статистической подготовки. Овладение ...
Ценообразование на продукты и услуги (практика ОАО РЖД)
Цена
- важнейшая экономическая категория, оказывающая значительное влияние на
решение социальных проблем населения и укрепление финансовой системы страны,
что приобрело особен ...
Характеристика деятельности индивидуального предпринимателя Кин А.В.
ОРГАНИЗАЦИЯ
КОММЕРЧЕСКОЙ ДЕЯТЕЛЬНОСТИ
Характеристика
организации
Отчет
по практике написан на материалах деятельности индивидуального предпринимателя
Кин А.В. Предп ...
